четверг, 19 марта 2020 г.

10 класс

1. Запишите число, которое будет напечатано в результате выполнения программы. Для Вашего удобства программа представлена на пяти языках программирования.



БейсикPython
DIM S, N AS INTEGER
S = 33
N = 1
WHILE S > 0
S = S – 7
N = N * 3
WEND
PRINT(N)
s = 33
n = 1
while s > 0:
    s = s - 7
    n = n * 3
print(n)
ПаскальАлгоритмический язык
var s, n: integer;
begin
s := 33;
n := 1;
while s > 0 do
begin
s := s – 7;
n := n * 3
end;
writeln(n)
end.
нач
цел s, n
s := 33
n := 1
нц пока s > 0
s := s – 7
n := n * 3
кц
вывод n
кон
Си++
#include <iostream>
using namespace std;
int main(void)
{ int s, n;
s = 33;
n = 1;
while (s > 0) {
s = s – 7;
n = n * 3;
}
cout << n << endl;
}

2. Определите, что будет напечатано в результате выполнения программы (записанной ниже на разных языках программирования):




БейсикПаскаль
DIM N, S AS INTEGER
N = 0
S = 0
WHILE S <= 365
S = S + 12
N = N + 5
WEND
PRINT N
var n, s: integer;
begin
    n := 0;
    s := 0;
    while s <= 365 do
    begin
        s := s + 12;
        n := n + 5
    end;
    write(n)
end.
Си++Алгоритмический язык
#include <iostream>
using namespace std;
int main()
{
    int n, s;
    n = 0;
    s = 0;
    while (s <= 365)
    {
        s = s + 12;
        n = n + 5;
    }
    cout « n « endl;
}
алг
нач
цел n, s
n := 0
s := 0
нц пока s <= 365
    s := s + 12
    n := n + 5
кц
вывод n
кон
Python
n = 0
s = 0
while s <= 365:
    s += 12
    n += 5
print(n)

3. Запишите число, которое будет напечатано в результате выполнения следующей программы. Для Вашего удобства программа представлена на пяти языках программирования.



БейсикPython
 DIM S, N AS INTEGER
 S = 150
 N = 0
 WHILE S + N < 300
     S = S − 5
     N = N + 25
 WEND
 PRINT N
s = 150
n = 0
while s + n < 300:
    s = s − 5
    n = n + 25
print(n)
ПаскальАлгоритмический язык
var s, n: integer;
begin
s := 150;
n := 0;
while s + n < 300 do
begin
    s := s − 5;
    n := n + 25
end;
writeln(n)
end.
алг
нач
    цел n, s
    s := 150
    n := 0
    нц пока s + n < 300
        s := s − 5
        n := n + 25
    кц
    вывод n
кон
Си++
#include <iostream>
using namespace std;
int main() {
int s = 150, n = 0;
while (s + n < 300) {
    s = s − 5;
    n = n + 25;
}
cout << n << endl;
return 0;
}

4. Запишите число, которое будет напечатано в результате выполнения следующей программы. Для Вашего удобства программа представлена на пяти языках программирования.




БейсикPython
DIM S, N AS INTEGER
S = 0
N = 6
WHILE N > 1
S = S + N
N = N − 1
WEND
PRINT S
s = 0
n = 6
while n > 1:
    s = s + n
    n = n − 1
print(s)
ПаскальАлгоритмический язык
var s, n: integer;
begin
    s := 0;
    n := 6;
    while n > 1 do
    begin
        s := s + n;
        n := n − 1;
    end;
    writeln(s)
end.
алг
нач
    цел s, n
    s := 0
    n := 6
    нц пока n > 1
        s := s + n
        n := n − 1
    кц
    вывод s
кон
Си++
#include <iostream>
using namespace std;
int main()
{
    int s = 0, n = 6;
    while (n > 1) {
        s = s + n;
        n = n − 1;
    }
    cout << s;
    return 0;
}


5. Определите число, которое будет напечатано в результате выполнения программы (записанной ниже на разных языках программирования).




БейсикПаскаль
DIM N, S AS INTEGER
N = 40
S = 0
WHILE S <= 257
S = S + 25
N = N + 4
WEND
PRINT N
var n, s: integer;
begin
    n := 40;
    s := 0;
    while s <= 257 do
    begin
        s := s + 25;
        n := n + 4
    end;
    write(n)
end.
Си++Алгоритмический язык
#include <iostream>
using namespace std;
int main()
{
    int n, s;
    n = 40;
    s = 0;
    while (s <= 257)
    {
        s = s + 25;
        n = n + 4;
    }
    cout « n « endl;
}
алг
нач
цел n, s
n := 40
s := 0
нц пока s <= 257
    s := s + 25
    n := n + 4
кц
вывод n
кон
Python
n = 40
s = 0
while s <= 257:
    s += 25
    n += 4
print(n)

6. Определите, что будет напечатано в результате работы следующего фрагмента программы:




БейсикPython
DIM K, S AS INTEGER
S = 5
K = 0
WHILE K < 15
    K = K + 2
    S = S + K
WEND
PRINT S
s = 5
k = 0
while k < 15:
    k += 2
    s += k
print(s)
ПаскальАлгоритмический язык
var k, s: integer;
begin
       s:=5;
       k:=0;
      while k < 15 do begin
            k:=k+2;
            s:=s+k;
       end;
      write(s);
end.
алг
нач
    цел k, s
    s := 5
    k := 0
    нц пока k < 15
        k := k + 2
        s := s + k
    кц
    вывод s
кон
Си++
#include <iostream>
using namespace std;
int main() {
    int s, k;
    s = 5, k = 0;
    while (k < 15) {
        k = k + 2;
        s = s + k;
    }
    cout << s << endl;
    return 0;
}

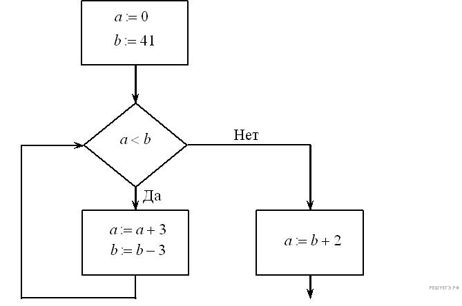
7. Запишите значение переменной а после выполнения фрагмента алгоритма:

*Примечание: знаком := обозначена операция присваивания. В бланк ответов впишите только число.
8. Запишите число, которое будет напечатано в результате выполнения следующей программы. Для Вашего удобства программа представлена на пяти языках программирования.




БейсикPython
DIM S, N AS INTEGER
S = 100
N = 300
WHILE S + N <= 500
S = S + 30
N = N − 20
WEND
PRINT S
s = 100
n = 300
while s + n <= 500:
    s = s + 30
    n = n − 20
print(s)
ПаскальАлгоритмический язык
var s, n: integer;
begin
    s := 100;
    n := 300;
    while s + n <= 500 do
    begin
        s := s + 30;
        n := n − 20;
    end;
    writeln(s)
end.
алг
нач
    цел s, n
    s := 100
    n := 300
    нц пока s + n <= 500
        s := s + 30
        n := n − 20
    кц
    вывод s
кон
Си++
#include <iostream>
using namespace std;
int main()
{
    int s = 100, n = 300;
    while (s + n <= 500) {
        s = s + 30;
        n = n − 20;
    }
    cout << s;
    return 0;
}


9. Определите, что будет напечатано в результате работы следующего фрагмента программы:




БейсикPython
DIM K, S AS INTEGER
S = 1
K = 0
WHILE K < 13
    S = S + 2 * K
    K = K + 4
WEND
PRINT K+S
s = 1
k = 0
while k < 13:
    s += 2*k
    k += 4
print(k+s)
ПаскальАлгоритмический язык
var k, s: integer;
begin
       s:=1;
       k:=0;
      while k < 13 do begin
            s:=s+2*k;
             k:=k+4;
       end;
      write(s+k);
end.
алг
нач
    цел k, s
    s := 1
    k := 0
    нц пока k < 13
        s := s + 2 * k
        k := k + 4
    кц
    вывод s+k
кон
Си++
#include <iostream>
using namespace std;
int main() {
    int s, k;
    s = 1, k = 0;
    while (k < 13) {
        s = s + 2 * k;
        k = k + 4;
    }
    cout << s+k << endl;
    return 0;
}

10. Определите число, которое будет напечатано в результате выполнения программы (записанной ниже на разных языках программирования).




БейсикПаскаль
DIM N, S AS INTEGER
N = 0
S = 0
WHILE S <= 365
S = S + 36
N = N + 8
WEND
PRINT N
var n, s: integer;
begin
    n := 0;
    s := 0;
    while s <= 365 do
    begin
        s := s + 36;
        n := n + 8
    end;
    write(n)
end.
Си++Алгоритмический язык
#include <iostream>
using namespace std;
int main()
{
    int n, s;
    n = 0;
    s = 0;
    while (s <= 365)
    {
        s = s + 36;
        n = n + 8;
    }
    cout « n « endl;
}
алг
нач
цел n, s
n := 0
s := 0
нц пока
s <= 365
    s := s + 36
    n := n + 8
кц
вывод n
кон
Python
n = 0
s = 0
while s <= 365:
    s += 36
    n += 8
print(n)

Комментариев нет:

Отправить комментарий